A lightweight, powerful and intuitive Python library for parameter optimization in ordinary differential equation (ODE) systems. invode combines global optimization with local refinement techniques to efficiently find optimal parameter sets for complex dynamical systems.
- Global Exploration: Latin Hypercube Sampling for comprehensive parameter space coverage
- Local Refinement: Gradient-based optimization for precise convergence
- Adaptive Sampling: Progressive search region shrinking for efficient exploration
- Built-in metrics: MSE, MAE, RMSE, Chi-squared, Huber Loss
- Regularization: L1, L2, and Elastic Net penalties
- Weighted Fitting: Handle heteroscedastic data with confidence
- Custom Metrics: Easy integration of domain-specific error functions
- Sensitivity Analysis: Identify critical parameters affecting model behavior
- Optimization History: Track convergence and parameter evolution
- Visualization: Built-in plotting for optimization progress and sensitivity
- Parallel Processing: Multi-core evaluation of parameter candidates (to be done!)
- Efficient Sampling: Quasi-Monte Carlo methods for better space filling
- Memory Optimized: Handle large parameter spaces without memory overflow (to be done!)
- Clean API: Intuitive interface following scikit-learn conventions
- Extensible: Easy to add custom optimization methods and error functions
- Well Documented: Comprehensive documentation with examples and tutorials
Install the latest published version from PyPI:
pip install invodeOr, to upgrade:
pip install --upgrade invodeimport numpy as np
from scipy.integrate import odeint
import matplotlib.pyplot as plt
import os
import sys
import scipy.io
from invode import ODEOptimizer, lhs_sample, erf
# Define your ODE system
def lotka_volterra(z, t, params):
x, y = z
alpha = params['alpha']
beta = params['beta']
delta = params['delta']
gamma = params['gamma']
dxdt = alpha * x - beta * x * y
dydt = delta * x * y - gamma * y
return [dxdt, dydt]
true_params = {
'alpha': 1.0, # prey growth rate
'beta': 0.1, # predation rate
'delta': 0.075, # predator growth per prey eaten
'gamma': 1.5 # predator death rate
}
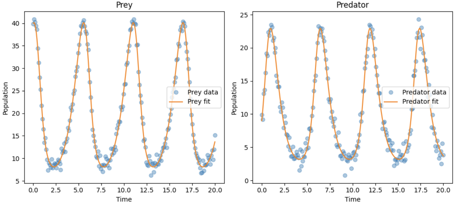
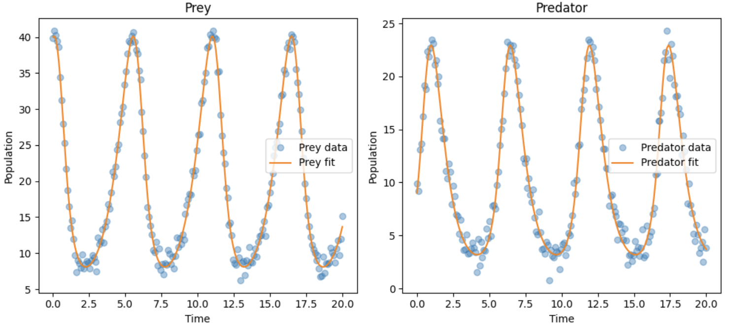
t = np.linspace(0, 20, 200)
z0 = [40, 9] # initial population: 40 prey, 9 predators
# Create ODE solver function
def simulate_model(params):
sol = odeint(lotka_volterra, z0, t, args=(params,))
return sol # shape: (N, 2)
# Generate synthetic noisy data (in practice, use your experimental data)
t = np.linspace(0, 20, 200)
z0 = [40, 9] # initial population: 40 prey, 9 predators
true_sol = odeint(lotka_volterra, z0, t, args=(true_params,))
noisy_data = true_sol + np.random.normal(0, 1.0, true_sol.shape)
# Set up optimization
param_bounds = {
'alpha': (0.5, 10),
'beta': (0.05, 0.9),
'delta': (0.05, 0.9),
'gamma': (1.0, 5.0)
}
optimizer = ODEOptimizer(
ode_func=simulate_model,
error_func=mse,
param_bounds=param_bounds,
seed=42,
num_top_candidates=3
)
# Run optimization
optimizer.fit()
best_params, best_error = optimizer.fit()
print(f"Optimal parameters: {best_params}")
print(f"Final error: {best_error:.6f}")
# Analyze parameter sensitivity
from invode import ODESensitivity
sensitivity = ODESensitivity(ode_func=simulate_model,error_func=mse)
sensitivities = sensitivity.analyze_parameter_sensitivity(df)
# Identify most consistently sensitive parameters
summary['mean_abs_sensitivity'] = summary.abs().mean(axis=1)
print(summary.sort_values('mean_abs_sensitivity', ascending=False))Refining params: {'alpha': 0.5483310416214465, 'beta': 0.068028770810073, 'delta': 0.1451018918331013, 'gamma': 3.1481636450536428}
Refining params: {'alpha': 0.8216385700908369, 'beta': 0.12479204383819222, 'delta': 0.0616377161233344, 'gamma': 1.615577581450748}
Refining params: {'alpha': 1.088028953494527, 'beta': 0.24201471359553078, 'delta': 0.10339353925892915, 'gamma': 1.6535395505316968}
[10]:
({'alpha': 0.9998973552849139,
'beta': 0.09995621865139477,
'delta': 0.07482275016126995,
'gamma': 1.4972199684549248},
0.9454500024300705)
Optimal parameters: {'alpha': 0.9998973552849139,
'beta': 0.09995621865139477,
'delta': 0.07482275016126995,
'gamma': 1.4972199684549248}
Final error: 0.9454500024300705
correlation rank_correlation variance mutual_info \
beta 1.000000 1.000000 0.837219 1.000000
alpha 0.939654 0.821020 0.705869 0.890829
delta 0.882231 0.691107 1.000000 0.528090
gamma 0.739286 0.660998 0.000000 0.000000
mean_abs_sensitivity
beta 0.959305
alpha 0.839343
delta 0.775357
gamma 0.350071
import invode.erf as erf
# Chi-squared for heteroscedastic data
sigma = np.array([0.1, 0.2, 0.15, 0.3]) # Different uncertainties
error_func = erf.chisquared(data, sigma=sigma)
# Regularized fitting to prevent overfitting
error_func = erf.RegularizedError(data, 'mse', l1_lambda=0.01, l2_lambda=0.1)
# Robust fitting with Huber loss
error_func = erf.huber(data, delta=1.5)optimizer = invode.ODEOptimizer(
# ... other parameters
parallel=True, # Parallel candidate evaluation
local_parallel=True, # Parallel local refinement
n_samples=100, # More samples for better parallelization
)# Overall parameter sensitivity
sensitivity = invode.ODESensitivity(ode_func, error_func)
candidates_df = optimizer.get_top_candidates_table()
# Multiple analysis methods
summary = sensitivity.create_sensitivity_summary(
candidates_df,
methods=['correlation', 'variance', 'mutual_info']
)
# Evolution over iterations
iteration_sens = sensitivity.analyze_sensitivity_by_iteration(candidates_df)
# Visualize results
fig = sensitivity.plot_sensitivity_analysis(sensitivities)This project is licensed under the MIT License - see the LICENSE file for details.
Why MIT? We believe in open science and want invode to be as widely useful as possible. The MIT license allows both academic and commercial use while maintaining attribution.
If you use InvODE in your research, please cite it as:
Dey, R. (2025). InvODE: Inverse problems on Ordinary Differential Equations (v0.1.3).
Zenodo. https://doi.org/10.5281/zenodo.17344201
You can also find a ready-to-use BibTeX citation in the "Cite this repository" section on GitHub.
- SciPy Community: For providing the foundational numerical computing tools
- Contributors: All the amazing people who have contributed code, documentation, and feedback
- Users: The researchers and engineers who trust invode with their important work
- Academic Partners: Universities and research institutions supporting open source development
Made with β€οΈ for the scientific computing community
β’ π Docs β’ π Issues β’ π¬ Discussions

