This is an interpreter for arbitrary pure type systems. Check here for a solid description.
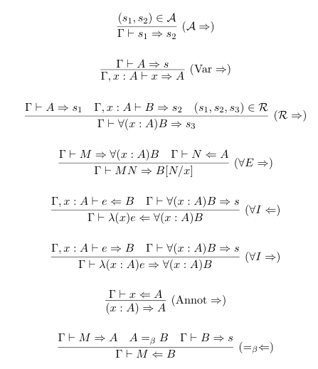
Pure uses bidirectional type checking, so it's typing rules are slightly different from the ones listed on wikipedia. Here are the typing rules, inspired by the recipe for bidirectionalization in the paper Bidirectional Typechecking.
Oleg Grenrus has a blog post on bidirectional type checking for pure type systems. I've only skimmed it, but we seem to have come up with pretty much the same set of rules. He goes somewhat deeper in exploring the idea than I do with Pure, however.
Pure uses Dune, which can be installed with opam install dune.
To build the interpreter, run dune build repl.exe, and run the resulting file at _build/default/repl.exe with a .pure file as an argument.
The top of every .pure file must contain 3 interpreter pragmas: %SORTS, %AXIOMS, and %RULES. To use System F as an example:
%SORTS Type | Kind
%AXIOMS Type : Kind
%RULES Type,Type,Type | Kind,Type,Type
These define the system that the rest of the file will be type checked against. The rest of the file can be zero or more declarations.
Declarations are in OCaml style, using let with an optional type annotation.
Use of unicode characters in names and as alternatives to \/,->,and \ is supported.
let id = \(A : Type)(x : A) x
let id : \/(A : Type) A -> A = \(A)\(x) x
let f : \/(A B : Type) (A -> A -> B) -> A -> A -> B = \(A B : Type)(f : A -> A -> B)(x y : A) f x y
let g : \/(A B : Type) (A -> A -> B) -> A -> A -> B = \(_ _ f x y) f x y
let ℕ : Type = ∀ (A : Type) (A → A) → A → A
let Z : ℕ = λ(_ _ x) x
Lambda functions have optional type annotations on their arguments. If none are provided, Pure will try to infer the type of the function. A function declared at the top level with no annotations on it's arguments cannot have it's type inferred, so an annoation on the declaration becomes necessary. Notice how the type annotation on the declaration allows us to avoid giving names to the the type parameters of the lambda. In annoted lambdas and in pi types, arguments with the same type can be conviniently grouped together. In unannotated lambdas, all arguments can be grouped together. Once a file has been read, you'll be presented with a REPL. Here you can evaluate expressions and make new top level bindings.
Check out the examples folder for more... examples. In coc.pure, I prove that 1 + 1 = 2 :)
%SORTS <> | Unit | Type
%AXIOMS <> : Unit | Unit : Type
%RULES Type,Type,Type
%SORTS Type | Kind
%AXIOMS Type : Kind
%RULES Type,Type,Type | Kind,Type,Type
%SORTS Type | Kind
%AXIOMS Type : Kind
%RULES Type,Type,Type | Kind,Type,Type | Kind,Kind,Kind
%SORTS Prop | Type
%AXIOMS Prop : Type
%RULES Prop,Prop,Prop | Prop,Type,Type | Type,Prop,Prop | Type,Type,Type
%SORTS * | □ | △
%AXIOMS * : □ | □ : △
%RULES *,*,* | □,*,* | □,□,□ | △,*,* | △,□,□
